Головна
Все про колегіум
Напрямки діяльності
Визнання
Бібліотека
Символіка
Додаткові послуги
Педагогічний колектив
Адміністрація
Кафедри
Вчителям
Оплата праці
Методичні поради
Права та обов'язки
Учням
Інформація для учнів
Меню в їдальні
Інформація для випускників
Корисні інтернет посилання
Поради психолога
Права та обов'язки
Вступ до ВНЗ
Батькам
Інформація для батьків
Поради для батьків
Батькам майбутніх першокласників
Права та обов'язки
Рада колегіуму
Батьки-партнери
Шкільний буфет
Розпорядок роботи
Розклад дзвінків
Режим колегіуму
Розклад навчальних занять
Режим роботи пансіону
Дистанційне навчання
Наші контакти
Мапа сайту
Володимирецький ліцей "Колегіум"
23
чер
2017
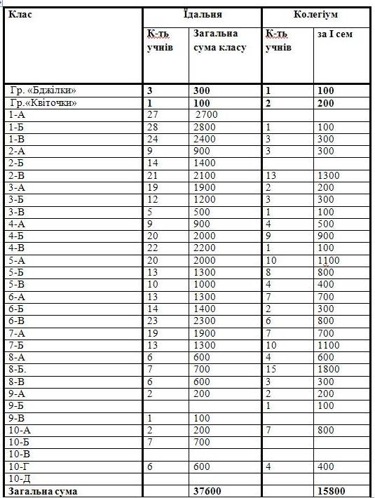
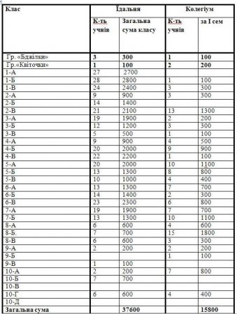
Звіт про надходження коштів за І семестр станом на 20.06. 2017 р на 2017-2018 н.р
Детальніше
Коментарі:
0
Переглядів новини: 2043
14
чер
2017
ЗВІТ ПРО НАДХОДЖЕННЯ КОШТІВ СТАНОМ НА 13.06.2017 Р НА 2017-2018 Н.Р
Детальніше
Коментарі:
0
Переглядів новини: 1622
01
чер
2017
Звіт про надходження коштів станом на 31.05.2017 р на 2017-2018 н.р
Детальніше
Коментарі:
0
Переглядів новини: 1694
01
чер
2017
Звіт про надходження коштів за І семестр станом на 31.05.2017 р на 2017-2018 н.р
Детальніше
Коментарі:
0
Переглядів новини: 1678
17
лют
2017
Звіт по використанню коштів за ІІ семестр 2016-2017 н.р. Благодійного фонду «Діти Полісся»
Для перегляду звіту натисніть наступне посилання
Zvt-blagodynimy-fond.rar
[26.08 Kb] (cкачувань: 8)
Детальніше
Коментарі:
0
Переглядів новини: 1732
27
вер
2016
Звіт благодійного фонду 27.09.2016
Для сканування натисніть наступне посилання:
zvt-blagodyn-yidalnya-27.092016-2.rar
[829.92 Kb] (cкачувань: 9)
Детальніше
Коментарі:
0
Переглядів новини: 2243
02
вер
2016
Звіт про витраченні кошти Благодійного фонду «Діти Полісся» за серпень місяць 2016 року
Детальніше
Коментарі:
0
Переглядів новини: 2446
01
вер
2016
Звіт про витраченні кошти Благодійного фонду «Діти Полісся» за серпень місяць 2016 року
Детальніше
Коментарі:
0
Переглядів новини: 2613
07
сер
2016
НАДХОДЖЕННЯ БЛАГОДІЙНИХ КОШТІВ СТАНОМ НА 01.07.2016 Р.
Детальніше
Коментарі:
0
Переглядів новини: 2491
07
чер
2016
НАДХОДЖЕННЯ БЛАГОДІЙНИХ КОШТІВ СТАНОМ НА 07.06.2016 Р.
Детальніше
Коментарі:
0
Переглядів новини: 1898
1
2
3
4
5
6
Розклад
Телевізійні новини
Календар
«
Грудень 2025 »
Пн
Вт
Ср
Чт
Пт
Сб
Нд
1
2
3
4
5
6
7
8
9
10
11
12
13
14
15
16
17
18
19
20
21
22
23
24
25
26
27
28
29
30
31
Архів
Грудень 2025 (63)
Листопад 2025 (66)
Жовтень 2025 (80)
Вересень 2025 (50)
Серпень 2025 (20)
Липень 2025 (7)
Червень 2025 (30)
Травень 2025 (68)
Квітень 2025 (73)
Березень 2025 (54)
Лютий 2025 (58)
Січень 2025 (58)
Грудень 2024 (69)
Листопад 2024 (51)
Жовтень 2024 (83)
Вересень 2024 (132)
Серпень 2024 (26)
Липень 2024 (15)
Червень 2024 (30)
Травень 2024 (58)
Квітень 2024 (62)
Березень 2024 (86)
Лютий 2024 (75)
Січень 2024 (95)
Грудень 2023 (59)
Листопад 2023 (74)
Жовтень 2023 (81)
Вересень 2023 (64)
Серпень 2023 (35)
Липень 2023 (24)
Червень 2023 (31)
Травень 2023 (81)
Квітень 2023 (76)
Березень 2023 (101)
Лютий 2023 (165)
Січень 2023 (73)
Грудень 2022 (70)
Листопад 2022 (97)
Жовтень 2022 (22)
Вересень 2022 (48)
Серпень 2022 (15)
Червень 2022 (8)
Травень 2022 (88)
Квітень 2022 (55)
Березень 2022 (43)
Лютий 2022 (65)
Січень 2022 (58)
Грудень 2021 (112)
Листопад 2021 (99)
Жовтень 2021 (128)
Вересень 2021 (100)
Серпень 2021 (38)
Липень 2021 (44)
Червень 2021 (47)
Травень 2021 (150)
Квітень 2021 (102)
Березень 2021 (120)
Лютий 2021 (128)
Січень 2021 (75)
Грудень 2020 (137)
Листопад 2020 (116)
Жовтень 2020 (103)
Вересень 2020 (72)
Серпень 2020 (45)
Липень 2020 (51)
Червень 2020 (44)
Травень 2020 (87)
Квітень 2020 (84)
Березень 2020 (85)
Лютий 2020 (68)
Січень 2020 (81)
Грудень 2019 (113)
Листопад 2019 (97)
Жовтень 2019 (88)
Вересень 2019 (63)
Серпень 2019 (63)
Липень 2019 (26)
Червень 2019 (44)
Травень 2019 (94)
Квітень 2019 (115)
Березень 2019 (96)
Лютий 2019 (113)
Січень 2019 (106)
Грудень 2018 (74)
Листопад 2018 (75)
Жовтень 2018 (74)
Вересень 2018 (71)
Серпень 2018 (52)
Липень 2018 (34)
Червень 2018 (61)
Травень 2018 (73)
Квітень 2018 (72)
Березень 2018 (68)
Лютий 2018 (61)
Січень 2018 (71)
Грудень 2017 (70)
Листопад 2017 (106)
Жовтень 2017 (81)
Вересень 2017 (55)
Серпень 2017 (51)
Липень 2017 (27)
Червень 2017 (46)
Травень 2017 (66)
Квітень 2017 (36)
Березень 2017 (48)
Лютий 2017 (72)
Січень 2017 (58)
Грудень 2016 (83)
Листопад 2016 (74)
Жовтень 2016 (50)
Вересень 2016 (59)
Серпень 2016 (31)
Липень 2016 (18)
Червень 2016 (30)
Травень 2016 (45)
Квітень 2016 (30)
Березень 2016 (64)
Лютий 2016 (88)
Січень 2016 (45)
Грудень 2015 (74)
Листопад 2015 (51)
Жовтень 2015 (41)
Вересень 2015 (50)
Серпень 2015 (31)
Липень 2015 (17)
Червень 2015 (33)
Травень 2015 (44)
Квітень 2015 (51)
Березень 2015 (52)
Лютий 2015 (65)
Січень 2015 (44)
Грудень 2014 (60)
Листопад 2014 (59)
Жовтень 2014 (62)
Вересень 2014 (76)
Серпень 2014 (20)
Липень 2014 (22)
Червень 2014 (22)
Травень 2014 (36)
Квітень 2014 (31)
Березень 2014 (37)
Лютий 2014 (41)
Січень 2014 (32)
Грудень 2013 (54)
Листопад 2013 (53)
Жовтень 2013 (58)
Вересень 2013 (52)
Серпень 2013 (18)
Липень 2013 (11)
Червень 2013 (20)
Травень 2013 (25)
Квітень 2013 (30)
Березень 2013 (20)
Лютий 2013 (14)
Січень 2013 (18)
Грудень 2012 (40)
Листопад 2012 (34)
Жовтень 2012 (19)
Вересень 2012 (21)
Серпень 2012 (10)
Червень 2012 (12)
Травень 2012 (7)
Квітень 2012 (69)
Березень 2012 (15)
Лютий 2012 (39)
Січень 2012 (10)
Грудень 2011 (56)
Листопад 2011 (33)
Жовтень 2011 (14)
Вересень 2011 (10)
Серпень 2011 (1)
Липень 2011 (6)
Червень 2011 (2)
Травень 2011 (15)
Квітень 2011 (4)
Березень 2011 (7)
Лютий 2011 (15)
Січень 2011 (4)
Грудень 2010 (14)
Листопад 2010 (18)
Вересень 2010 (1)
Липень 2010 (14)
Червень 2010 (1)
Показати архів повністю
Погода
Погода
Погода у
Володимирці
вологість:
тиск:
вітер:
Погода у Кременчуці
Погода у Мелітополі
Популярне
Професійний візит та практикум для вчителів технологічної освітньої галузі у Володимирецькому ліцеї «Колегіум»
Профорієнтаційна зустріч випускників із представниками МЕГУ
Вітаємо з перемогою на Всеукраїнському біологічному форуму «Дотик природи – 2025»
«Сокіл» («Джура»)
«Сокіл» («Джура»)
Участь в онлайн-олімпіаді на платформі JaustClass
ПОСВЯТА ЛІЦЕЇСТІВ ВІЙСЬКОВО-СПОРТИВНОГО ПРОФІЛЮ
Презентація творчих робіт
НОВИЙ СТАТУС — НОВІ МОЖЛИВОСТІ
ПРОФОРІЄНТАЦІЙНА РОБОТА
Навігація
Архів:
Структура навчального року
Шкільна їдальня
Пришкільний пансіон
Пам'ятки поведінки в НС »
Дії, якщо ви почули звуки сирен, переривчасті гудки підприємств або звуки гучномовця
Як виявити терориста
Якщо ви опинилися в зоні бойових дій
Поради психолога при поведінці в екстремальній ситуації
Як поводити себе у натовпі
Що робити під час евакуації
Для запобігання можливого терористичного акту
Рекомендовані дії, якщо ви опинилися в захопленій терористами будівлі
Дії при захопленні автобуса
Дії під час обстрілу стрілецькою зброєю
Дії під час артобстрілів
Як діяти, якщо ви попали в перестрілку?
Дії під час того, як силовики звільняють від терористів будівлю чи транспортний засіб
Надання медичної допомоги
Самоврядування
Шкільний медичний кабінет
Освіта. Діти. Майбутнє »
Нормативно-правова база
Освітній простір ОДМ
Учасники проєкту
Прозорість та відкритість»
Статут закладу
Ліцензії на провадження освітньої діяльності
Структура та органи управління закладом
Положення ВСЗЯО
Кадровий склад учителів закладу
Освітні програми, що реалізуються в закладі
Реалізація експериментального проєкту щодо посилення безпеки освітнього середовища в закладах загальної середньої освіти в умовах правового режиму воєнного стану
Територія обслуговування, закріплена за закладом
Фактична кількість учнів закладу
Мова освітнього процесу
Наявність вакантних посад, порядок і умови проведення конкурсу на їх заміщенням
Матеріально-технічне забезпечення закладу
Наявність гуртожитків та вільних місць у них, розмір плати за проживання
Результати моніторингу якості освіти
Річний звіт про діяльність закладу освіти
Правила прийому до закладу
Положення щодо унеможливлення насильства та жорстокого поводження з дітьми у Володимирецькому ліцеї "Колегіум"
Перелік додаткових освітніх послуг
Правила поведінки здобувача освіти в закладі освіти
План заходів, спрямованих на запобігання та протидію булінгу (цькуванню) в закладі освіти
Порядок подання та розгляду (з дотриманням конфіденційності) заяв про випадки булінгу (цькування) в закладі освіти
Порядок реагування на доведені випадки булінгу (цькування) в закладі освіти та відповідальність осіб, причетних до булінгу (цькування)
Інформація про використання публічних коштів
Фінансова звітність благодійного фонду "Діти Полісся"
Інформація та документи
ПОЛОЖЕННЯ про академічну доброчесність учасників освітнього процесу
Вибір підручників
Нова українська школа
Атестація педагогічних працівників
Інклюзивне навчання
Авторська школа
STEM-проєкт
Експеримент
Центр національного патріотичного
виховання
Асоціація керівників закладів освіти
Відомі випускники
Наші герої
Каталог сайтів шкіл
Кіностудія "Вулик"
Газета колегіуму
Міні-зоопарк
Фотогалерея
Візитка колегіуму
Громадські організації »
Особлива молодь
Діти Полісся
Музей
Охорона праці і техніка безпеки
Сторінка директора
Архів
Грудень 2025 (63)
Листопад 2025 (66)
Жовтень 2025 (80)
Вересень 2025 (50)
Серпень 2025 (20)
Липень 2025 (7)
Червень 2025 (30)
Травень 2025 (68)
Квітень 2025 (73)
Березень 2025 (54)
Лютий 2025 (58)
Січень 2025 (58)
Грудень 2024 (69)
Листопад 2024 (51)
Жовтень 2024 (83)
Вересень 2024 (132)
Серпень 2024 (26)
Липень 2024 (15)
Червень 2024 (30)
Травень 2024 (58)
Квітень 2024 (62)
Березень 2024 (86)
Лютий 2024 (75)
Січень 2024 (95)
Грудень 2023 (59)
Листопад 2023 (74)
Жовтень 2023 (81)
Вересень 2023 (64)
Серпень 2023 (35)
Липень 2023 (24)
Червень 2023 (31)
Травень 2023 (81)
Квітень 2023 (76)
Березень 2023 (101)
Лютий 2023 (165)
Січень 2023 (73)
Грудень 2022 (70)
Листопад 2022 (97)
Жовтень 2022 (22)
Вересень 2022 (48)
Серпень 2022 (15)
Червень 2022 (8)
Травень 2022 (88)
Квітень 2022 (55)
Березень 2022 (43)
Лютий 2022 (65)
Січень 2022 (58)
Грудень 2021 (112)
Листопад 2021 (99)
Жовтень 2021 (128)
Вересень 2021 (100)
Серпень 2021 (38)
Липень 2021 (44)
Червень 2021 (47)
Травень 2021 (150)
Квітень 2021 (102)
Березень 2021 (120)
Лютий 2021 (128)
Січень 2021 (75)
Грудень 2020 (137)
Листопад 2020 (116)
Жовтень 2020 (103)
Вересень 2020 (72)
Серпень 2020 (45)
Липень 2020 (51)
Червень 2020 (44)
Травень 2020 (87)
Квітень 2020 (84)
Березень 2020 (85)
Лютий 2020 (68)
Січень 2020 (81)
Грудень 2019 (113)
Листопад 2019 (97)
Жовтень 2019 (88)
Вересень 2019 (63)
Серпень 2019 (63)
Липень 2019 (26)
Червень 2019 (44)
Травень 2019 (94)
Квітень 2019 (115)
Березень 2019 (96)
Лютий 2019 (113)
Січень 2019 (106)
Грудень 2018 (74)
Листопад 2018 (75)
Жовтень 2018 (74)
Вересень 2018 (71)
Серпень 2018 (52)
Липень 2018 (34)
Червень 2018 (61)
Травень 2018 (73)
Квітень 2018 (72)
Березень 2018 (68)
Лютий 2018 (61)
Січень 2018 (71)
Грудень 2017 (70)
Листопад 2017 (106)
Жовтень 2017 (81)
Вересень 2017 (55)
Серпень 2017 (51)
Липень 2017 (27)
Червень 2017 (46)
Травень 2017 (66)
Квітень 2017 (36)
Березень 2017 (48)
Лютий 2017 (72)
Січень 2017 (58)
Грудень 2016 (83)
Листопад 2016 (74)
Жовтень 2016 (50)
Вересень 2016 (59)
Серпень 2016 (31)
Липень 2016 (18)
Червень 2016 (30)
Травень 2016 (45)
Квітень 2016 (30)
Березень 2016 (64)
Лютий 2016 (88)
Січень 2016 (45)
Грудень 2015 (74)
Листопад 2015 (51)
Жовтень 2015 (41)
Вересень 2015 (50)
Серпень 2015 (31)
Липень 2015 (17)
Червень 2015 (33)
Травень 2015 (44)
Квітень 2015 (51)
Березень 2015 (52)
Лютий 2015 (65)
Січень 2015 (44)
Грудень 2014 (60)
Листопад 2014 (59)
Жовтень 2014 (62)
Вересень 2014 (76)
Серпень 2014 (20)
Липень 2014 (22)
Червень 2014 (22)
Травень 2014 (36)
Квітень 2014 (31)
Березень 2014 (37)
Лютий 2014 (41)
Січень 2014 (32)
Грудень 2013 (54)
Листопад 2013 (53)
Жовтень 2013 (58)
Вересень 2013 (52)
Серпень 2013 (18)
Липень 2013 (11)
Червень 2013 (20)
Травень 2013 (25)
Квітень 2013 (30)
Березень 2013 (20)
Лютий 2013 (14)
Січень 2013 (18)
Грудень 2012 (40)
Листопад 2012 (34)
Жовтень 2012 (19)
Вересень 2012 (21)
Серпень 2012 (10)
Червень 2012 (12)
Травень 2012 (7)
Квітень 2012 (69)
Березень 2012 (15)
Лютий 2012 (39)
Січень 2012 (10)
Грудень 2011 (56)
Листопад 2011 (33)
Жовтень 2011 (14)
Вересень 2011 (10)
Серпень 2011 (1)
Липень 2011 (6)
Червень 2011 (2)
Травень 2011 (15)
Квітень 2011 (4)
Березень 2011 (7)
Лютий 2011 (15)
Січень 2011 (4)
Грудень 2010 (14)
Листопад 2010 (18)
Вересень 2010 (1)
Липень 2010 (14)
Червень 2010 (1)
Показати архів повністю
Банери
Статистика